국내 1인 가구가 800만 세대를 넘어 전체의 36%를 차지하며 역대 최고치를 기록했다. 서울시 조사에 따르면 1인 가구의 62%가 ‘외로움’을 느끼는 등 고립감과 정신건강 문제가 심화되고 있다. KAIST 연구진은 스마트폰·웨어러블의 한계를 넘어, 가정 내 IoT 데이터를 통해 일상 리듬이 흐트러질수록 정신건강이 악화되는 핵심 신호임을 밝혀냈다. 이번 연구는 개인 맞춤형 정신건강 관리 시스템 개발의 기반이 될 것으로 기대된다.
KAIST은 전산학부 이의진 교수 연구팀이 가정 내 사물인터넷(IoT) 센서 데이터를 활용해 개인의 정신건강 상태를 정밀하게 추적할 수 있는 가능성을 입증했다고 22일 밝혔다.
정신건강 관리를 위해선 자신의 상태를 꾸준히 파악하는 것이 중요하지만, 기존의 스마트폰이나 웨어러블 기반 추적 방식은 사용자가 기기를 착용하거나 소지하지 않는 집 안에서는 데이▲왼쪽부터 전산학부 이찬희 박사과정, 터가 누락되는 한계가 있었다.
전산학부 이의진 교수, 전산학부 이현수 교수, 전산학부 고영지 박사과정
이에 연구팀은 가정 내 환경 데이터에 주목했다. 청년층 1인 가구 20세대를 대상으로 4주간 실증 연구를 진행하며, 가전제품과 수면 매트, 움직임 센서 등을 설치해 IoT 데이터를 수집하고, 스마트폰·웨어러블 데이터와 함께 분석했다.
그 결과, IoT 데이터를 함께 활용할 때 정신건강의 변화를 기존 방식보다 훨씬 정확하게 포착할 수 있음이 확인됐다. 예를 들어 수면 시간 감소는 우울·불안·스트레스 수준 증가와 밀접하게 연관됐으며, 실내 온도 상승 또한 불안 및 우울과의 상관관계를 보였다.
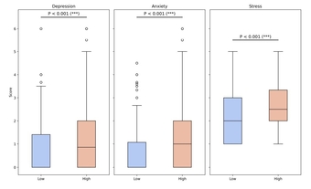
참가자들의 행동 패턴은 스트레스 상황에서 냉장고 사용이 늘어나는 ‘폭식형’, 활동량이 급감하는 ‘무기력형’ 등으로 다양했지만, 공통적으로 생활 패턴이 불규칙할수록 정신건강이 악화되는 경향이 뚜렷하게 나타났다.
특정 행동의 빈도보다 일상 패턴의 변동성이 더 중요한 요인으로 확인됐으며, 이는 규칙적인 생활이 정신건강 유지에 핵심적임을 시사한다.
연구 참여자들이 자신의 생활 데이터를 시각화 소프트웨어를 통해 확인한 결과 사생활 침해에 대한 우려보다, 데이터가 정신건강 이해에 실질적인 도움이 된다는 인식을 갖게 되었다. 이로 인해 연구 수용성과 참여 만족도가 크게 향상됐다.
이의진 교수는 “이번 연구는 가정 내 IoT 데이터가 개인의 생활 맥락 속에서 정신건강을 이해하는 중요한 단서가 될 수 있음을 보여주었다”며, “향후 AI를 활용해 개인별 생활 패턴을 예측하고 맞춤형 코칭이 가능한 원격 의료 시스템 개발로 발전시킬 계획”이라고 밝혔다.
이번 연구에는 고영지 박사과정 학생이 제 1저자로 참여했으며, 연구결과는 인간-컴퓨터 상호작용(HCI) 분야의 저명한 국제 학술지인 ACM 인터랙티브, 모바일, 웨어러블 및 유비쿼터스 기술 논문집(Proceedings of the ACM on Interactive, Mobile, Wearable and Ubiquitous Technologies)에 9월호에 게재되었다.
한편 이번 연구는 LG전자-KAIST 디지털 헬스케어 연구센터와 정부(과학기술정보통신부)의 재원으로 한국연구재단의 지원을 받아 수행됐다.

▲그림 1. 사용자별 정신건강 상태 및 센서 데이터 상관관계 히트맵

▲그림 2. 생활불규칙성이 높은 그룹(빨강)과 낮은그룹(파랑)의 평균 정신건강상태 비교
